RESOURCES > EIS > POROUS ELECTRODES
> de LEVIE
Interest in fuel cells and supercapacitors has lead to renewed attention to porous electrodes.

The de Levie Model
One of the first treatments of a porous electrode was by de Levie in the
late 60's (Ref 1). He assumed cylindrical pores in a
metallic electrode. The solution in the pores is assumed to be homogeneous
so that its conductivity does not depend on the distance down the pore.
The figure to the left shows
a schematic for a transmission line model of the de Levie impedance.
The electrolyte resistance through the pore is Ro ohm/cm and the interfacial
impedance is ZIF ohm-cm2. For a small length of the pore, dx, the
electrolyte resistance, dR, and interfacial impedance, dZ are given by the
equations, below. The radius of the pore is r cm, and the resistivity of
the electrolyte is
ohm-cm. Zo is the impedance at the pore wall-electrolyte interface for a unit
length of pore.

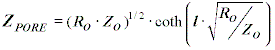
de Levie showed that the impedance
of a single pore of length l had an impedance given by ZPORE.
This equation holds for any type of interfacial impedance as long as
the interfacial impedance does not depend upon the position in the
pore.
|
The
astute observer will note that if the interfacial
impedance, Zo, is simply the double-layer capacitance,
then Zo=1/j C.
Substituting into the equation for ZPORE,
above, gives an equation of the same form as that for
the T element! |
If all of the n pores in an
electrode are identical (radius r and length l)
the equation for ZPORE can be used to obtain the total experimental
electrode impedance if the interfacial impedance ( ZIF ) is
known (Ref 2).

Barcia, et. al.( Ref 2
) applied this equation to the cast iron corrosion in water and copper
dissolution in HCl. In both cases, fairly complicated models were used for ZIF.
They also point out that, although the pores are not all of uniform radius and
depth, average radii and depth can be extracted from the EIS data.

REFERENCES
(1) R De Levie, Adv. Electrochem. Electrochem. Eng., 6 (1967)
329.
(2)
"Application of the impedance model of de Levie for the characterization
of porous electrodes", OE Barcia, E D'Elia, I Frateur, OR Mattos, N
Pebere, B Tribollet, Electrochimica Acta, 47 (2002),
2109. doi:10.1016/S0013-4686(02)00081-6
|